J Transcat Intervent.2019;27:eA201826.

O escore GRACE não é um bom preditor da complexidade angiográfica na síndrome coronária aguda

Gustavo Paes Silvano, Leonardo Sinnott Silva, Eduardo Caruso de Castro Faria, Daisson José Trevisol

DOI: 10.31160/JOTCI201927A201826

RESUMO

Introdução:

Embora o valor prognóstico do escore de risco GRACE seja extensamente conhecido, é limitado o número de estudos que avaliaram a relação entre este e a complexidade angiográfica da doença arterial coronariana. Por esse motivo, no presente estudo, objetivou-se avaliar a capacidade preditora do escore GRACE na síndrome coronária aguda em relação à complexidade angiográfica estratificada, de acordo com o escore SYNTAX.

Métodos:

Estudo transversal, no qual foram incluídos pacientes com síndrome coronária aguda submetidos à coronariografia durante a internação, com pelo menos uma estenose ≥50% em vasos de diâmetro ≥1,5mm. Doença arterial coronariana complexa foi definida como SYNTAX ≥23.

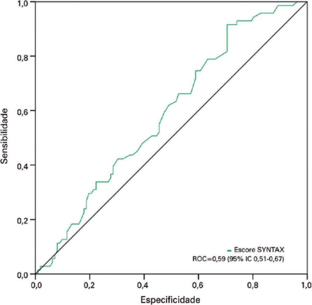
Resultados:

Foram estudados 183 pacientes. Observou-se correlação positiva entre o GRACE e o SYNTAX (p=0,005), porém essa associação foi fraca (r=0,20). O GRACE apresentou capacidade discriminatória entre pacientes com ou sem doença arterial coronariana complexa, mas de pequena relevância, com área sob a curva COR de 0,59 (IC95% 0,51-0,67; p=0,042).

Conclusão:

O escore de risco GRACE não é um preditor suficientemente acurado da complexidade angiográfica na síndrome coronária aguda.

O escore GRACE não é um bom preditor da complexidade angiográfica na síndrome coronária aguda

Comentários