J Transcat Intervent.2022;30:eA20210040.
Impacto da intervenção coronária percutânea versus cirurgia de revascularização do miocárdio na doença do tronco da coronária esquerda – experiência de um único centro
DOI: 10.31160/JOTCI202230A20210040
RESUMO
Introdução:
Embora a cirurgia de revascularização do miocárdio seja o tratamento padrão-ouro para a doença estável do tronco da coronária esquerda, a intervenção coronária percutânea mostrou bons resultados, tornando-se alternativa à técnica cirúrgica. Este estudo teve como objetivo avaliar e comparar uma população do mundo real com doença estável de tronco de coronária esquerda submetida à cirurgia de revascularização do miocárdio ou à intervenção coronária percutânea, quanto às suas características e aos seus desfechos.
Métodos:
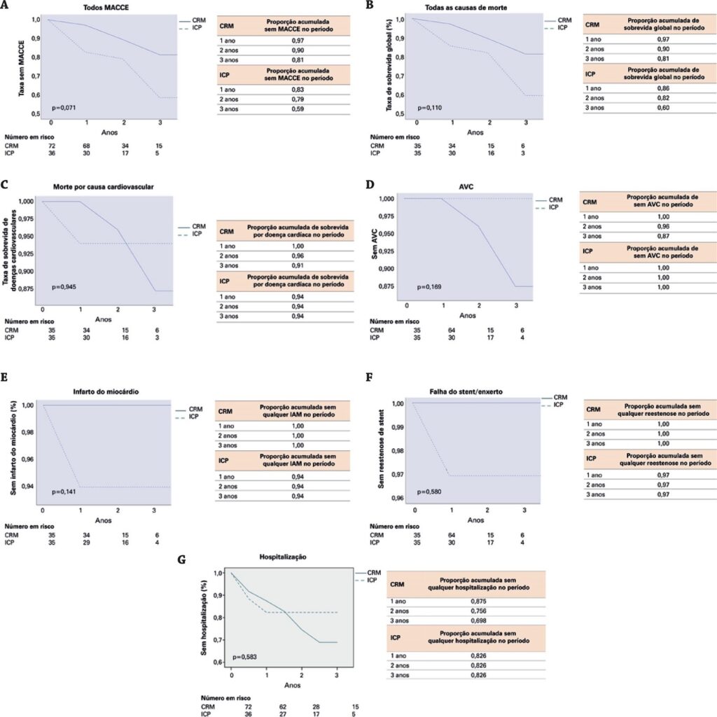
Duas amostras de pacientes com doença estável do tronco da coronária esquerda, submetidas à cirurgia de revascularização do miocárdio ou à intervenção coronária percutânea entre janeiro de 2015 e novembro de 2018, foram avaliadas, e seus resultados clínicos foram comparados. As taxas de eventos cumulativos foram baseadas na curva de Kaplan-Meier e comparadas com estatísticas de teste de log-rank. Os valores de p, razão de risco e IC95% foram obtidos por meio de regressões de Cox univariadas.
Resultados:
Não foram encontradas diferenças significativas entre os grupos submetidos à intervenção coronária percutânea e à cirurgia de revascularização do miocárdio na composição total de riscos de eventos cardíacos e cerebrovasculares adversos maiores (razão de risco do grupo submetido à intervenção coronária percutânea de 2,066; IC95% 0,876-4,869; p=0,097) ou no risco de morte por causa cardiovascular (razão de risco de 1,117 no grupo submetido à intervenção coronária percutânea; IC95% 0,204-6,109; p=0,898). Entretanto, o grupo classificado como tendo doença coronariana de alta complexidade anatômica apresentou piores resultados quanto às taxas de eventos cardíacos e cerebrovasculares adversos maiores quando submetidos à intervenção coronária percutânea (razão de risco de 2,699; IC95% 1,002-7,266; p=0,049).
Conclusão:
Ambos os tratamentos são opções válidas para a doença estável do tronco da coronária esquerda, exceto em pacientes com alta complexidade anatômica coronariana, nos quais a cirurgia de revascularização do miocárdio deve permanecer como tratamento de escolha.
260
